|
|
|
|
|
|
|
|
| 2.バセドウ病と破壊性甲状腺炎による甲状腺中毒症の鑑別: |
|
|
|
|
・ |
亜急性甲状腺炎は発熱や疼痛などがあり、バセドウ病との鑑別が問題になることは少ない。
|
|
・ |
無痛性甲状腺炎に抗甲状腺剤を投与すると、甲状腺機能は急速に低下し、甲状腺腫が軟らかく増大するので、治療法がバセドウ病と大きく異なるため、日常診療では、バセドウ病と無痛性甲状腺炎の鑑別が日常診療で問題となる。
|
|
無痛性甲状腺炎は、2カ月以上も甲状腺ホルモン濃度の高値が持続することはなく低下してくるし、一般的に中毒症状はバセドウ病ほど強くなくその間βブロッカーのみの投与で支障無い。
|
|
図6-7 無痛性甲状腺炎による一過性組織破壊後の甲状腺機能の変動モデル
 |
| 無痛性甲状腺炎の一般的経過の模式図であるが、急性組織破壊によって甲状腺内の貯蔵ホルモンが血中に流出し中毒症を来す |
|
|
|
表6-8 バセドウ病か破壊性甲状腺炎か?
 |
| 鑑別のポイントを示したが、眼球突出やTRAbはバセドウ病に特徴的である。触診上、甲状腺が下膨れであって毛細管拍動を触れることも診断上有効である。無痛性甲状腺炎の甲状腺腫は余り大きくなく、細長いことが多い。T3/T4比も参考になるが、やはり鑑別に一番有効なのは甲状腺摂取率検査であり、破壊性甲状腺炎ではTSHが抑制されており、TRAbが存在しないため極端な低値をとる。鑑別に迷うときには積極的に摂取率検査を行うべきである。検査が実施できないときは、1〜2カ月間無治療で経過を見ることが好ましい。 |
|
|
|
| 3.甲状腺機能低下症の診療上のポイント |
|
・ |
現在、本邦で見られる原発性甲状腺機能低下症の約1/2は可逆性であり、永続的補償療法を要しないものである。従って、可逆性のものを正しく見極めることが必要である。
|
|
・ |
可逆性低下症を来す要因:現在最も多いものはヨードの過剰摂取に基づくものであり、問診時に嗜好を尋ねることが重要である。
|
|
・ |
破壊性甲状腺炎によるものが次に注目される。図6-6に示した如く、急性組織破壊後5〜8カ月で低下症になる場合が多い。
|
|
表6-9 原発性甲状腺機能低下症の臨床所見(岡村氏による)
| |
可逆性 |
不可逆性 |
|
|
|
| 数 |
120 |
133 |
|
|
|
| 甲状腺重量(g) |
41±37 |
34±67 |
| エコーレベル |
18±6 |
10±3a |
| RAIU(%/24h) |
50±24 |
10±11a |
| サイログロブリン(ng/ml) |
834±980 |
204±363b |
| 非ホルモン性ヨード>50mg/l |
55% |
31%b |
| TGHA or MCHA(+) |
71% |
89%b |
| TBII(+) |
2% |
14%a |
| 海藻過剰摂取 |
30% |
17%c |
| 腎機能性障害 |
20% |
9%c |
| aP<0.001 bP<0.001;andcP<0.005. |
|
| ヨード過剰による一過性低下症を初めて報告した岡村氏の成績を示すが、可逆性低下症の特徴は、甲状腺腫は不可逆性のものよりは大きく、エコーレベルは少し高く、ことに甲状腺摂取率は高値を示す。Tgも高いが、患者の大半は自己抗体陽性であり余り参考にはならない。可逆性低下症として一括したものでも(無痛性甲状腺炎も含めている)海草の過剰摂取者が多く、腎機能低下時にはヨードの排出障害、ひいては血中ヨード濃度の上昇が関与する。 |
|
|
|
表6-10 可逆性甲状腺機能低下症の特徴
| 1)甲状腺腫 |
|
・ |
萎縮性ではなく触知できるが、中等度以下で小さいものが多く、かつ軟らかい。 |
|
・ |
TSHは可逆性のものも高値を示すが、FT4(T4)は不可逆性のものほど低値でない。 |
| 2)甲状腺摂取率 |
|
・ |
高値を示すものは可逆性と云ってよい(時には、可逆性で摂取率が正常ないし低値のものもあるが)。 |
|
・ |
貧血やT−cholの上昇が著明でない。 |
|
浮腫もかえって指圧痕を残さないものが多い。 |
|
(参考事項) |
|
@日常のヨード過剰摂取 |
|
A破壊性甲状腺炎の回復期 |
|
・ |
1年以内の出産、流産の既往数ヶ月前に中毒症状が見られる |
|
・ |
比較的急な発症 |
|
・ |
INF治療中、or終了後 |
|
|
|
TSBAb(一般的にはTBII、高感度TRAbで代用可)による低下症の母親から出産した新生児が、抗体の胎盤通過によって一過性甲状腺機能低下を来しうることも既に述べたが、母親由来のIgG抗体は数カ月で新生児の血中から消失する。これを確認して補償療法を中止するが、この病態に医師が気付かねば、新生児クレチン症として半永久的に治療が行われることになり、不都合である。成人でも、TSBAbの消失による低下症の寛解が見られ得る。
|
図6-8 原発性甲状腺機能低下症の病理所見
 |
|
|
|
| 針生検によって甲状腺組織を採取した甲状腺機能低下症の病理所見の代表的なものを図6-7に示す。甲状腺腫を触知できないような例ではA型を示し、繊維化が進み、甲状腺濾胞は乏しく、上皮細胞の丈は低く萎縮性病変を呈する。一方、可逆性の場合にはH型を示し、リンパ球浸潤は見られるが、繊維化は少なく、濾胞構造は良く保たれ、上皮細胞は丈が高く増殖性病変を示し、いかにも回復途上を思わせる。橋本病で甲状腺腫を有しながら低下症を示すような場合にはD型が多い。リンパ球浸潤、ある程度の繊維化とともに、濾胞構造も崩れかかってはいるがかなり残存しており、上皮細胞には膨化など退行変性が見られ、A型とH型の中間的所見であるが、一般的に可逆性は乏しいものである。 |
|
|
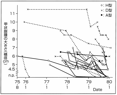
| 図6-9 補償療法を実施した橋本病(甲状腺機能低下)患者の甲状腺腫の大きさの経時的変化 |
 |
| 不可逆性甲状腺機能低下症には甲状腺腫を触知しないものが多いが、一部には以前に甲状腺腫があったことを問診で確認できるものがあり、また、橋本病として治療している間に腺腫が縮小し消失するものも少なくない。原発性甲状腺機能低下症と診断された症例の甲状腺腫の大きさの経時変化を示し、A型のみでなく、D型の場合も経過中に甲状腺腫が縮小し、触知不能になるものも見られる。H型も機能改善とともに甲状腺腫は縮小する。 |
|
|
|
| 機能低下を示す橋本病で甲状腺腫が増大する場合には、甲状腺にTSH反応性(予備能)が残っていることを示し、(部分的にしろ)可逆性の可能性があると言える。必然的に、不可逆性のものよりは補償に要する甲状腺剤の量も少なくてよい。 |
|
| 4.結節性甲状腺腫診療のポイント |
| 結節性甲状腺腫診断上のポイントをまとめた |
|
| 表6-11結節性甲状腺腫瘍の臨床 |
| ・良性か悪性かを見極めることが肝要。 |
| ・頚部リンパ節腫脹は重要な所見。結節側で、頚動脈の内側、ことに胸鎖乳突筋の内側に硬いリンパ節を複数触知すれば、甲状腺がんが強く疑われる。 |
| ・エコー検査は、結節の有無を知るには最適。ただし、良・悪性の鑑別は困難(CTやMRIも、RIシンチも不十分)。 |
| ・サイログロブリンも初診時には有用性に乏しい。ただし、Tgはがんの治療経過の判定上は極めて有用である。時に |
| Tgの上昇から転移が後ほど見つかることもあり得る。 |
| ・穿刺吸引細胞診(FNA)が不可欠(エコーガイド下のFNAはことに有用とされる)。 |
| ・分化がんが大部分を占めるが、稀に未分化がんや悪性リンパ腫が見られ、これらに際しては早急な処置が必要。 |
|
|
|
|
 |
甲状腺分化がんの治療: |
|
・ |
甲状腺全摘後に131I大量療法を行うことによって、転移巣が治療できることがある。
|
|
・ |
図4−3にプロトコールを示したが、全摘後4週すると甲状腺機能は低下し、TSHが上昇する。ここで131I 5 mCi程度で全身シンチを行い、ヨードの集積の有無を見る。甲状腺部に集積がある場合は甲状腺の残存を考え50mCi程度を投与して、先ず残存甲状腺の破壊を図る。頚部の集積が少なく他の身体部位に強い集積を認めれば100〜150mCiを最初から投与する。投与後2週くらいからT4による補償を行う。約5カ月後に、T4を中止し、T3を2週間投与し(T4の低下に有効)、その3週後にTSHの上昇を確認して全身をスキャンする。異常集積を認めれば大量療法を行う。このサイクルを繰り返して、異常集積がなくなるまで行う。
|
|
・ |
図5−5にも示した如く、軟部組織の転移は割合治療効果がよいが、骨への転移はやや効果が乏しい。
|
|
・ |
131Iが集積しない場合はどうか?;Tgの上昇も伴わない場合には、概ね転移がないと考えてよいが、ただ分化度が低下するとヨード摂取やTg産生などの分化機能が損なわれてくる可能性があるので、その点要注意である。
|
|
・ |
自己抗体がなくてTgが高い時にはヨード集積を示さない転移巣があると考えねばならない。急速に増大する甲状腺腫瘍への対応も診療上重要なことである。
|
|
甲状腺分化がんは一般に増殖が遅く、1ヶ月やそこらの観察では増大は著明でない。急速な増大を示し、2週後で大きさが変わるような場合は、悪性リンパ腫か未分化がんが考えられる。いずれも診断確定を待たずに早急に専門医に委ねるべきで、前者の場合には予後はある程度良好であるが、後者の予後は極めて不良であり、治療が急がれる。
|
|
|
| 図6-10 機能性甲状腺がんの症例の131Iによる甲状腺及び肺野のシンチグラム |
 |
| 本邦での131I大量療法第一例(と思っている)の頚部から胸部のスキャン像であるが、両肺部に著明なRIの集積が見られた(胸部写真では粟粒様陰影があり、他病院で粟粒結核として2年間受療していた)。3回計250mCiの投与によって、RIの集積もX−P上の異常陰影も完全に消失し、治療を担当した筆者は転移巣が治癒できることに大きな感激を憶えた。 |
|
|
|
|
|
|